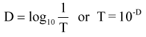
The majority of neutral density filters offered are manufactured with a metallic coating which attenuates incident light by both reflection and absorption. Depending upon the spectral range of interest, these filters are manufactured on substrates of quartz, sapphire, germanium or silicon. Neutral density filters are categorised by their optical density (D) which is defined as the logarithm to the base 10 of the reciprocal of the transmitted radiant power (T)
Optical densities can be added so several filters can be placed in series to obtain a specific value (e.g. D1 + D2 + D3….). However, care must be taken when aligning the filters to avoid the effects of multiple reflections, from parallel surfaces, which could result in a higher transmitted energy than expected. In general, neutral density filters are manufactured on a custom basis with optical densities from 0.1 to 2.0 (79 to 1%).
